Basic Mode of Winding
- Random winding.
- Precision winding.
- Step precision winding or hybrid winding.
Random Winding
Winding package is rotated through frictional contact with rotating drum. This type of drive is also called surface drive two method of yarn traversing are usually employed.
- Grooved
Drum
The
first one is winding system with grooved drum traverse. In which a drum carries
spiral slot groove yarn follow he grooves cut on drum surface and is moved to
and fro to traverse yarn across package.- Plain face drum with separate thread guide
- Package surface speed and traverse speed for random winding
Surface Speed of drum,
Traverse Speed,
Winding Speed,
Coil Angle,
Traverse Ratio,
If package 1 rotate there 1 coli laid “T” wound be number of package rotation in 2n rotation of drum which equal to,
- Package characteristic of random winding
- Yarn winding velocity is the vector summation of surface velocity (which is perpendicular to package axis) and traverse velocity which is parallel to package axis.
- In this case, as the surface speed and traverse speed remains constant, winding speed as well as coli angle remains constant at all diameter of package
- When a package is wound with constant coli angle, traverse ration keeps on decreasing with increase in package diameter.
- Decreasing traverse ration lead to pattern formation of yarn keeps on changing due to varying traverse ration.
- Plain face drum with separate thread guide
Surface speed of drum,
RPM of cam,
Traverse Speed,
Winding Speed,
Coil angle,
Traverse Ratio,
Traverse ration T would be number of package rotation in 2K rotation of cam which
equal to,
- Positive Aspects of Random Winding
- Owing to constant coli angle, stable package is produced. Package properties are influenced by coil angle selected for winding.
- Constant winding angle lead to package of uniform density, there are no restrictions on building package with greater diameter.
- The basic winding mechanism is simple in construction, especially with grooved drum winding.
- As the yarn winding speed remains constant no regulating device is required to keep winding speed constant.
- Economical winding system are possible with random winding.
- Maintenance and operation can be simple and easy.
- Negative Aspects of Random Winding
- At certain diameter during package build up pattering occurs.
- The pattern zone become problem during unwinding and also yarn breakage tent to increase at pattern zone during unwinding.
- Package density increase at pattern zone which is problematic for application like dyeing.
- Package density achievable with random winding is about 20-25 lower than precision winding.
- When grooved drum winding is employed, the yarn remain in the groove of the drum. Therefore point at which yarn is laid on the package does not remains at nip between drum and package but remain away from it.
- Instead of parallel side face, somewhat convex side tend to be formed which disadvantage for certain end use application like TFO twisting.
Precision Winding
A
precision winding machine builds precision wound package. Conventionally, in a
precision winding package is directly driven by mounting it on a spindle
therefore these winder are also called spindle driven winder.
The
package is driven by mounting it on a spindle which is positively driven from
motor. Traverse cam is driven from spindle shaft through a train of gear a yarn
traversing guide that follows traversing cam traverse yarn let “k” be number of
cam revolution per single traverse. For given cam number of cam revolution per
single traverse of cam remains constant with constant motor RPM, SPINDLE RPM
and there by PACKAGE RPM will be constant. If motor remains constant, cam rpm
would also be constant and therefore, traverse speed will remain constant.
Surface Speed of Package,
Cam RPM,
Traverse Speed,
Winding Speed,
Traverse Ratio,
Using 4 Gear (Trains)
Traverse Ratio for 4 Gear Train,
Coil angle,
Drawback when using 4 gear train of 2 gear train example,
Using
4 gear train on precision winding A=60 (teeth), B=30 (teeth), C=50 (teeth),
D=50 (teeth), K=2……
In this case traverse rotation is not suitable and yarn will not be
uniformly distributed on the surface of the package and therefore a
satisfactory package would not be obtained and also caused pattering ribboning.
How to avoid this problem ?
Mainly this avoid by two way is………..
In modern precision winding M/C the gear ration is adjust by
electrically or individual motor. Desirable data insert in screen and achieved
desirable product.
Positive Aspect of Precision Winding
- Due to avoidance of patterning package exhibit good unwinding properties.
- By selecting close traverse ration, a package with high density can be built.
- Desired properties of a package can be obtained by selecting appropriate traverse ratio.
Negative Aspects of Precision Winding
- As the coil angle decrease with an increase in package diameter, it may lead to fragile, package at higher diameter, therefor precision wound package can be build up to limited diameter only.
- Precision wound package become problematic when package diameter exceeds traverse length, that problem called “over squared” come this is a disadvantage for certain end use application.
- Decreasing coil angle contributes to package density variation from empty to full application.
- The mechanism is usually required on winding machine to reduce package rpm as package build up that pulley an additional as in machine construction.
- Higher coil angle toward package may be problematic for end-up application, like TFO twisting.
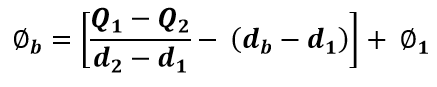
Hybrid (step Precision winding)
In
step precision winding, package is wound with almost constant coli angle. The
user select the coli angle Ó¨ at which the package is to be wound let “α” the angle within
which coli angle deviation is to be allowed.
Traverse ratio,
Let
a package wound with increase coil angle from Ø to Ø2, from diameter Ø1 to Ø2 with step precision
mode. Coil angle Øb at an intermediate
diameter “db” can determined using equation.
Negative Aspects of Step Precision
- Very costly
- Form of concentric ring
REF:
- fundamentals of yarn winding by Milind Koranne (Woodhead Publishing India in
textile)









